Bei einem Slug-Test wird das Grundwasser in Schwingung gebracht. Bei geringen Durchlässigkeiten nähert sich die Schwingung exponentiell der Ruhelage. Auch der Wiederanstieg eines Pumpversuches, dessen Absenkphase mit einem stationären Zustand aufhört, wird als Slug-Test ausgewertet.
Der Slug-Test kann schnell und einfach durchgeführt werden: Es wird keine Pumpe benötigt, die Messung erfolgt im Brunnen selbst, es ist keine weitere Messstelle erforderlich. Er ist auch in Aquiferen anwendbar, deren Durchlässigkeiten für einen Pumpversuch zu gering wären. Da kein Grundwasser entnommen wird, eignet sich das Verfahren auch für kontaminierte Standorte.
Das Grundwasser wird kurzzeitig aus seiner Ruhelage gebracht. Dies kann beispielsweise mit einem Verdrängungskörper erfolgen, durch kurzzeitiges Pumpen oder durch eine kurzzeitige Eingabe. Bei hydraulischen Bohrlochversuchen in gering durchlässigen Aquiferen wird in der Regel das Testintervall abgepackert und über Steigrohre Wasser in das Testintervall eingegeben.
Es wird keine Entnahemerate gemessen. Das Wasservolumen ist durch die Höhe der Änderung aus der Ruhelage und dem Durchmesser des Vollrohrs bzw. Bohrlochs gegeben. Im Gegensatz zu einem Pumpversuch wirkt sich damit eine Änderung des Radius stark auf die Transmissivität aus.
Es werden zwei Radien unterschieden:
| rc | : | Radius des Vollrohrs bzw. Bohrlochs, innerhalb derer sich die Grundwasserhöhe ändert. |
| rw | : | Effektiver Radius im verfilterten Abschnitt. Beim offenen Bohrloch ist der effektive Radius gleich dem Bohrlochradius. |
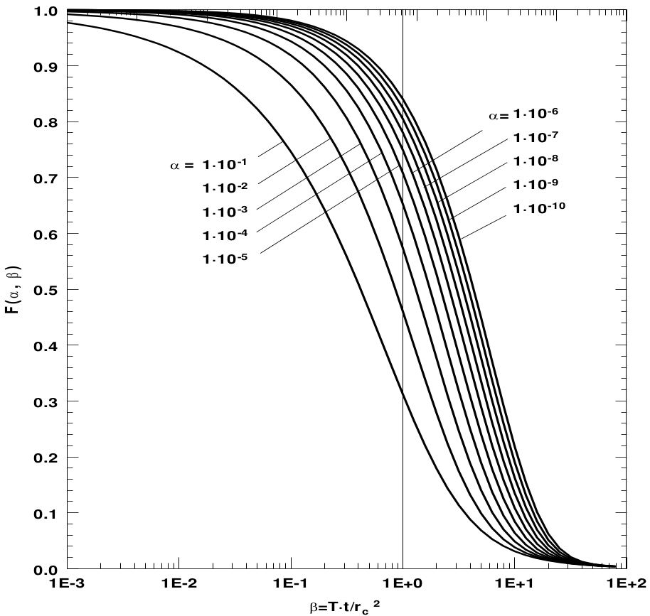
Die Absenkungswerte werden zunächst normiert, das heißt, die Absenkungen werden durch den maximalen Wert zu Beginn des Slug-Test dividiert. Die normierten Messwerte werden halblogarithmisch im gleichen Maßstab wie die Typkurven Abb. 1 graphisch aufgetragen und mit den Typkurven zur Deckung gebracht. Für β = 1 wird t abgelesen, α kann direkt abgelesen werden. t und α werden in die folgenden Gleichungen eingesetzt, die nach den Parametern T und S aufgelöst werden:

Abb. 1: Cooper-Typkurve.
Fortsetzung folgt …